首页 > 声乐 > 简谱 / 正文内容_滚滚长江东逝水-简谱

滚滚长江东逝水-简谱

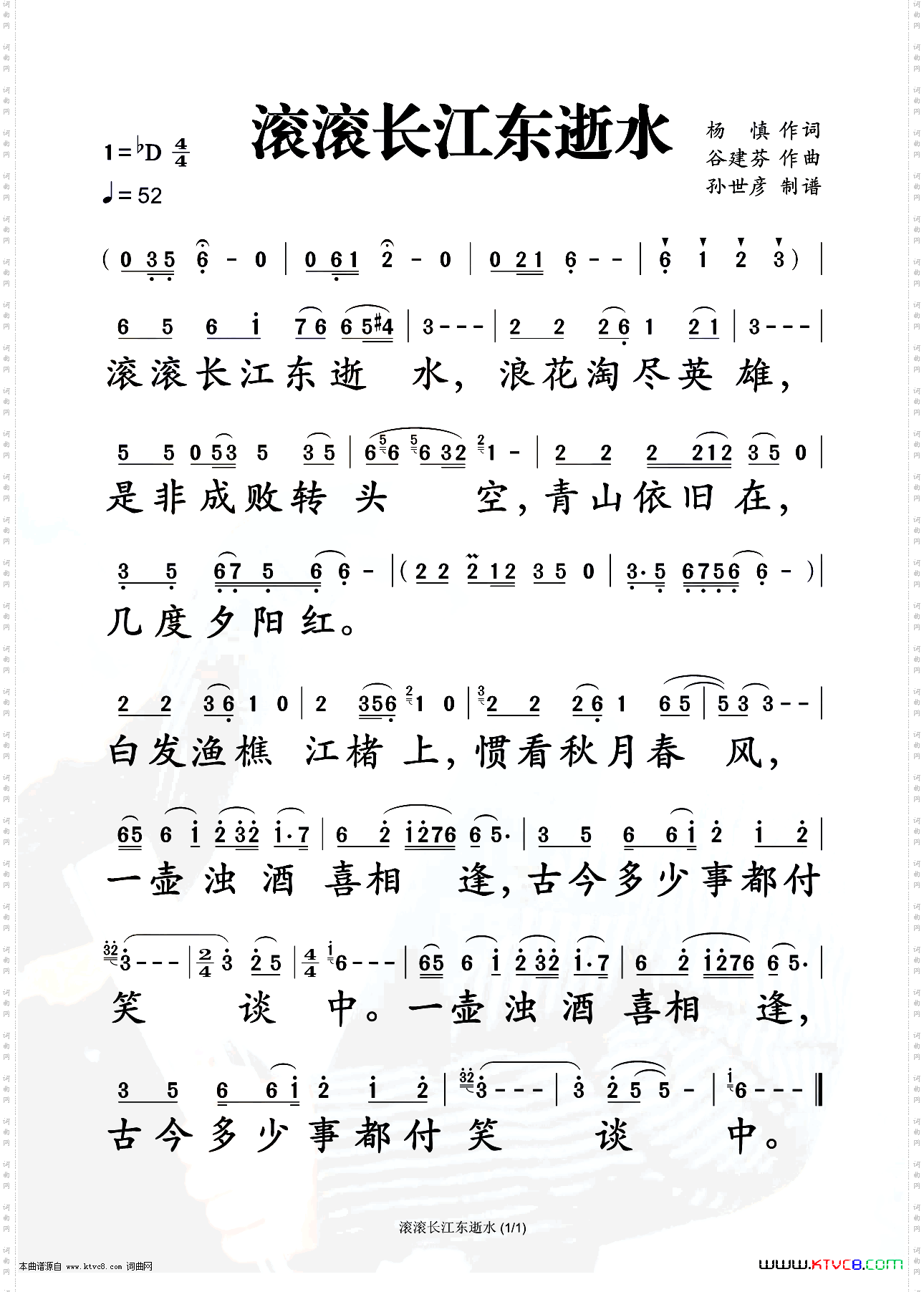
滚滚长江东逝水

相关话题:

猜你喜欢的简谱

    暂无相关信息
乐器分类
戏曲专栏
热门话题