首页 > 声乐 > 简谱 / 正文内容_光年之外-光年之外简谱

光年之外-光年之外简谱

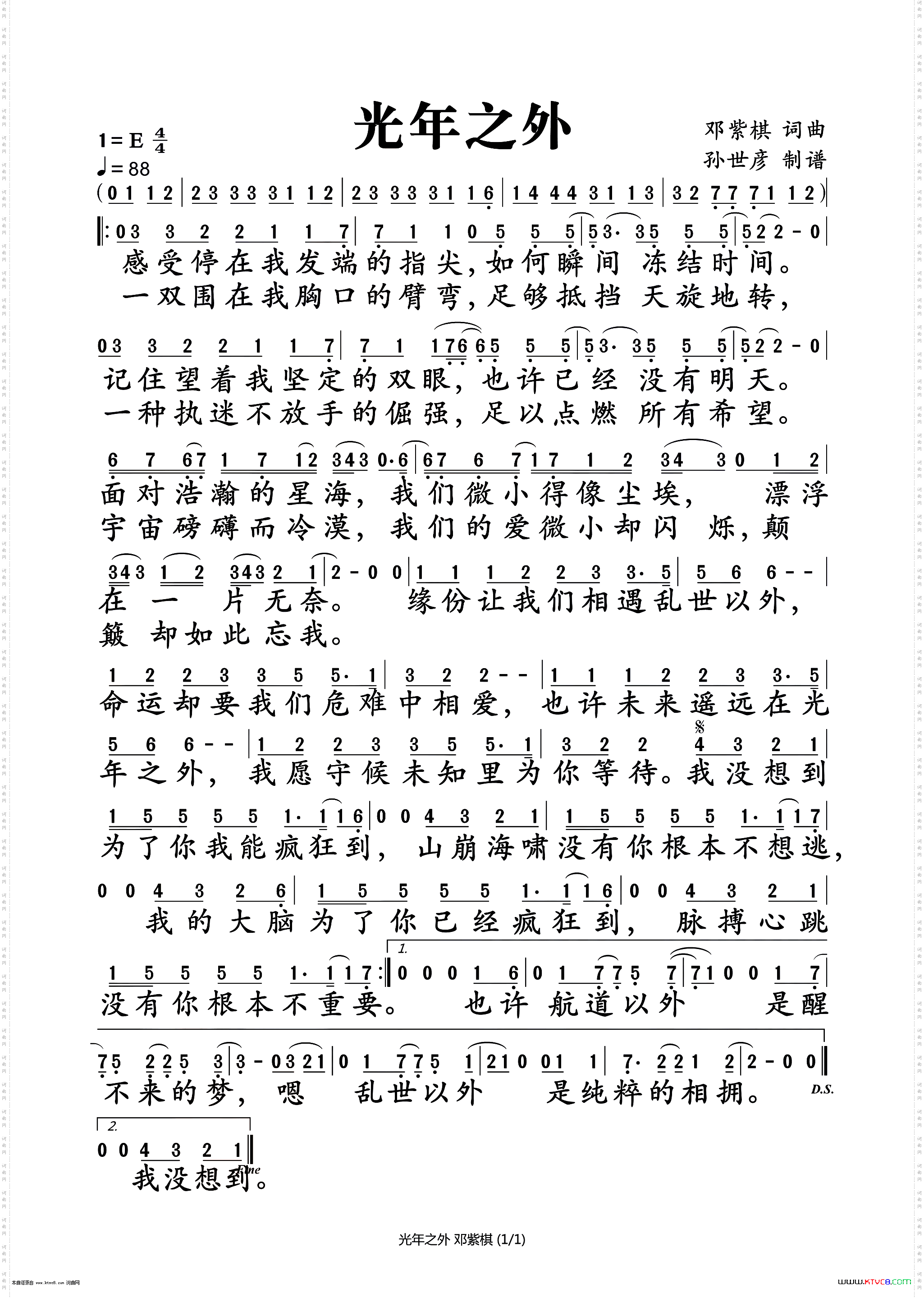
光年之外

相关话题:光年之外

乐器分类
戏曲专栏
热门话题