首页 > 声乐 > 简谱 / 正文内容_永生永世在一搭-马露露,郑维忠简谱

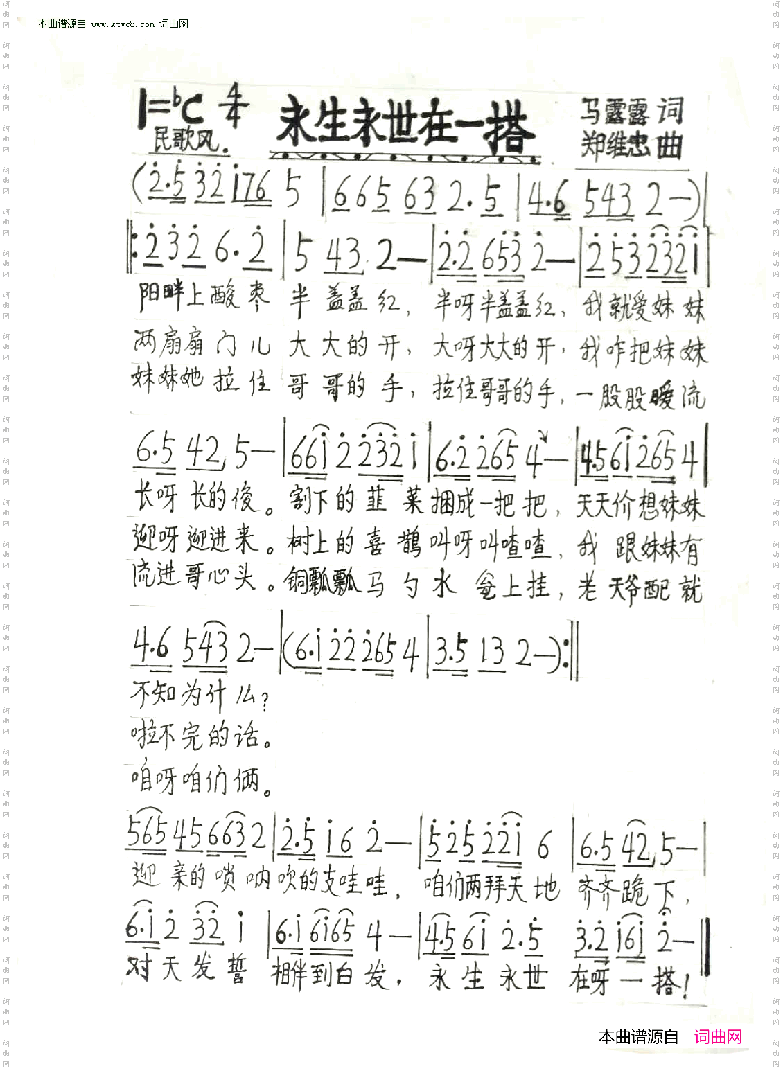
永生永世在一搭-马露露,郑维忠简谱

永生永世在一搭

相关话题:马露露   郑维忠

乐器分类
戏曲专栏
热门话题